Atmospheric profile measurements with the LI-8250 multiplexer system
Printable PDF: Atmospheric profile measurements with the LI-8250 multiplexer system
(LI-8250_Atmospheric-Profile-Measurements_20229.pdf)
Download this content as a pdf.
The LI-8250 system is typically used in long-term deployments measuring trace gas fluxes from soils, under the instrument’s own automated control. The system allows integration of a variety of analyzers, allowing for the measurement CO2, N2O, CH4, and other non-reactive trace gases. The hardware required for its typical chamber-based measurement, is in essence a flow-controlled multi-inlet pneumatic switching system similar to that of a sequential sampling scheme used to make measurements of atmospheric concentration profiles. As such, with little modification to the LI-8250, the system can be used to measure profiles of a variety of non-reactive and non-sticky gases.
Here we describe considerations for construction of profile intakes, deploying and configuring the system, and provide operational details for extracting concentration data and calculating storage fluxes using SoilFluxPro. Data from an example system deployed in parallel to eddy covariance system are included, as is a comparison with EddyPro’s one-point storage flux estimation.
Sampling density, heights, and hardware selection
The recommended number of sampling points (n, rounded up to the nearest integer) can be estimated based on the maximum sampling height (hm, in meters). Where the profile system will be deployed in parallel to an eddy covariance system, hm is the height of the eddy covariance measurement. Where the profile system is deployed on its own, hm should fall between 1.5 and 2 times the height of the plant canopy that the system is deployed in.
1
The parameter a has a recommended default value of 2/3, but may be adjusted depending on canopy characteristics. For canopies where vegetation density is highly uniform with respect to height this value may be reduced to as little as 0.5. For more complicated, less uniform canopies values up to 0.75 may be used.
The distribution of sampling points vertically should follow a non-linear distribution, with the greatest density of sampling points closest to the ground. The height (zi, in m) of each sampling point (ni), for a series of sampling points ranging from 1 to n, can be calculated by:
2
Where the exponent b scales the distribution of sampling points from linear (b = 1) to logarithmic (b = e). For hm less that 7 m, using a value of 1.5 for b is generally sufficient. For hm greater than this, we recommend using e.
Purging profile intakes between measurements
In the instrument’s typical configuration, flow is only provided through a port when it is being actively sampled. For profile measurements however, it is desirable to provide a continuous (purge) flow through all intakes even when they are not being sampled, particularly when buffer volumes are used. Purge flow can be provided by connecting the flask pump (from the Flask Sampling Kit, part number 8250-660), or a user-provided pump, to the normally open channel of the solenoid manifolds (Figure 1). This channel is common to all ports on the solenoid manifold and allows the flow from a single purge pump to be divided over all intakes.
In the purge configuration, the flask pump provides a maximum unrestricted flow of 6.8 LPM divided over all open and inactive ports. To ensure that flow is divided evenly over all intakes, such that they are all purged at the same rate, it is important to balance the pressure drop across all intakes. The simplest (and recommended) means to do this is to use identical intakes on all ports, including identical tube lengths, on each device where intakes are attached. Where tube length will vary between intakes, pressure drop must be balanced by the user between each intake. This can be done by including an adjustable rotameter on each intake and manually adjusting purge flows to match between intakes.

The flask pump is installed in any device (multiplexer or manifold) where profile intakes are attached. Ports not used for a manifold or profile intake1 should be plugged with a quick connect plug (part number 300-08371) if there are any profile intakes attached to the device. The number of plugs (nplugs) needed can be calculated from:
3
Where nmux is the number of LI-8250 multiplexers with profile intakes attached (0 or 1), and nman is the number of 8250-01 manifolds with profile intakes attached. For example, a simple system with just four intakes on a single LI-8250 would require four plugs (4 = 8 × (1+0) – (1 × 0 + 4)) or a more complicated system with 12 intakes spread across a manifold and multiplexer would require three plugs (3 = 8 × (1+1) – (1 × 1 + 12)).
The tubing connecting the LI-8250 to an 8250-01 extension manifold will not be purged between sampling events on the port where the manifold is connected. This volume remains static between measurements because it is connected in the extension manifold to the normally closed channels of its solenoid manifolds. Once flow is active for sampling the transport time to flush the standard tubing assembly (15 m) is on the order of 2.5 seconds. This time should be accounted for in the pre-purge for any profile intake attached to an extension manifold.
Intake tubing
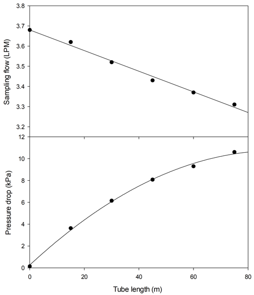
The fittings used with the LI-8250 system are compatible with nominally 1/8” ID tubing, such as Bev-a-line IV. This is the tubing used for all external gas lines with a standard LI-8250 system. As shown in Figure 2, Bev-a-line has generally good flow characteristics even for long intake tube lengths. Where the tubing is the only flow restriction on the intake, flow loss is minimal and remains linear to at least 75 meters in intake tube length. At some tube length, flow will become a non-linear function of length, rapidly approaching zero flow. The tube length where this occurs will have a dependence on ambient temperature and pressure. Note too that additional flow restrictions on the intake (e.g., an intake filter) will also affect the achieved flow through the intake and the decay rate of the flow with tube length. If the total restriction drops the sampling pump inlet pressure 40 kPa or more below ambient, the LI-8250 will automatically disable the sampling pump.
Fifteen-meter rolls of Bev-a-line are available under part number 8150-250. We recommend using a single continuous length of Bev-a-line for any intake tube up to 15 meters long. For longer intake lengths, sections of Bev-a-line may be joined using a mated pair of barbed quick connect fittings (one each of part numbers 300-07124 and 300-07125 per join). For connection to the multiplexer or manifold, one additional 300-07124 will be required for each intake tube.
Bev-a-line tubing has generally good durability, but as best practice it should not be left exposed to the elements. It should be installed inside some protect sleeve, like rigid conduit or automotive split-loom (part number 378-08497, sold per foot). Strain relief should be used in multiple locations, particularly on long runs, to limit tension on the tubing itself and any connections between lengths of tubing.
Where metal fittings are installed in the sampling lines they too should be covered with some protective sleeve and/or tube insulation. Uncovered, these fittings will cool much faster than the surrounding tubing. In cold environments this will lead to ice formation in the fittings that blocks flow. It is generally not necessary to insulate the fittings at the side panel of the LI-8250 or 8250-01.

Buffer volumes
A buffer volume may be required to provide some physical averaging of concentration with respect to time or space, depending on the intake configuration. For time averaged inlets, the buffer volume is installed downstream of a single intake point. For spatially averaged inlets, the buffer volume is installed downstream of multiple intake points distributed in space. This latter arrangement is typically suggested for the lower most intake heights, particularly for profile systems deployed in spatially heterogeneous canopies.
Buffer volumes should be made of materials that have limited interaction with the gas species of interest. Since measurement of the water vapor profile is generally not recommended with the LI-8250 system, issues of water sorption/desorption are rather mute, allowing use of a number of materials that might otherwise be avoided for gas analysis. For CO2, CH4 and N2O aluminum and stainless steel are good material choices due to their non-reactive nature and corrosion resistance.
Air temperature
To calculate the storage flux from the vertical profile of concentrations, an air temperature measurement must be available from each intake location. The Flask Sampling Kit includes a Thermistor Input Module that can be used to interface thermistors for this air temperature measurement, providing a fully integrated dataset. Alternatively, air temperature from a separate measurement system (e.g., a standalone datalogger) can be integrated with the LI-8250 dataset in post processing, using the Import feature in SoilFluxPro. Details of using the Import feature are given in the SoilFluxPro user manual.
Pre-assembled weatherized thermistors are available from LI-COR (part number 9982-081). These thermistors are potted into a stainless-steel housing that is fit to a sealed cable gland and a 15-meter shielded cable. The cable gland is designed to mount through a 12.5 mm diameter hole in materials up to 3 mm thick, and is held in place by a nylon hex nut (15 mm flat to flat) on the thermistor side of the assembly. Alternatively, the gland may be threaded directly into a PG 7 (steel conduit threading per DIN 40430) threaded hole. These thermistors are not radiation shielded, and as such should be installed in a radiation-shielded housing for the most accurate air temperature measurement.
User-provided thermistors can also be interfaced to the system. The thermistor input module is optimized for 10 kOhms at 25 °C nominal, NTC thermistors. Steinhart-Hart coefficients for the user-provided thermistor must be known and set in the instrument configuration.
If a temperature measurement will not be integrated through the LI-8250 a fixed 10 kOhm resistor should be connected on one channel of the Thermistor Input Module and that channel should be referenced in the configuration (see Software configuration for profile measurements). This will provide a temperature fixed at ~25 °C and ensure no temperature related errors are reported in the system.
Installing the flask kit in the inlet-purge configuration
Note: The following instructions are similar too, but differ in a few key areas from, those included in the Flask Sampling Kit. If this kit is installed per the instructions in the Flask Sampling Kit it will not function in any useful way for profile measurements.
- (Optional) If using thermistors for the air temperature profile or powering the instrument through the 8250-772 laboratory power supply, remove the access plug using a pair of 24 mm wrenches from the side panel of the instrument to open the cable port.
- With this plug removed, tubing and cables can be passed through the side panel of the instrument and the instrument case can be closed. Note that with this plug removed the instrument is no longer weather-proof and must be deployed in a weather-proof location.
- (Optional) If using the 8250-772 laboratory power supply to power the instrument, pass its cable through the cable port and plug it into the ALT PWR IN connection under the main board, or use a homemade cable with a Switchcraft 760 connector and 18-gauge wires (both available from online retailers or hobby shops) and a 24 VDC power supply.
- Be sure the power supply is not yet connected to mains power when connecting it here. The instruments should remain unpowered until all flask hardware is installed.
- Note: The 8250-772 must be used to power 8250-01 extension manifolds when the purge pump is installed. The power draw of the purge pump exceeds the capacity of the supply on the LI-8250 chamber ports.
- Remove the six Philips head screws from the cover over the main board in the instrument and lift the cover off.
- Be careful not to touch the exposed board, as electrostatic discharge can damage it.
- Install the purge pump.
-
- Attach the mounting bracket (part number 9882-042) to the purge pump with two Philips head screws from the flask kit (part number 150-14477), as shown below.
- The assembled pump and bracket mounts over top of the main pump in the instrument.
- Position it as shown and install it with four Philips head screws from the flask kit (part number 150-14477).
- Connect the power cable from the pump to the main board in the instrument.
- The purge pump connects to the connector closest to the main pump connector.
- Remove the plugs from the normally open channel of the upper and lower solenoid manifold in the instrument.
- The plugs can be removed with 8 mm wrench or a flat blade screwdriver.
- Install brass quick connect fittings (part number 300-08251) on the solenoid manifolds.
- Slide the fitting onto the long side of the hex key (part number 610-04290) included in the flask kit and use the hex key to thread the fitting in place. Hand tighten to compress the gasket against the manifold block.
- Connect the purge pump hose with the T-fitting to the lower solenoid manifold.
- Push the hose into the brass quick connect installed previously and pull back slightly to seat hose in place.
- Connect the purge pump hose with the filter on it to the upper manifold.
- Push the hose into the brass quick connect installed previously and pull back slightly to seat hose in place.
- Install the thermistor input module.
- Caution: When not installed in the instrument, the thermistor input module is ESD sensitive. Handle it by its edges only, and touch something with a good ground connection before handling it.
-
- Connect the input module cable to the main board of the instrument.
- Align the keys on the white connectors and press in until they are seated. It does not matter which end of the cable connects to the main board.
- Place the cover back over the main board and reinstall the two Philips screws farthest from the AUX PWR IN port.
- In the remaining four holes install the standoffs (part number 161-18848) included in the flask kit.
- Be cautious not to over tighten these.
- Connect the cable from the main board to the module.
- Install the thermistor input module on to the standoffs using the four remaining cover screws removed previously.
- Connect the pressure sensor tube from the thermistor input module to the T-fitting on the pump hose.
- (Optional) Connect the thermistors to the input module.
- Thermistor channels and profile intake port numbers do not have to match, but the thermistor for a given intake must be connected to the same instrument as the intake.
-
- Pass the thermistor cable through the cable port on the side of the instrument.
- If using a LI-COR thermistor (9982-081), connect the brown wire to a numbered input terminal (T1 through T8) on the green terminal strip at the center of the thermistor input module.
- Twist the end of the blue wire and the uninsulated shield wire together and connect these to one of the ground terminals adjoining the numbered input terminal.
- If desired, secure the thermistor cable with a wire tie to one of the strain relief posts on the thermistor input module.
- Repeat the above steps for all thermistors.
- For any ports not used for profile intakes or extension manifolds, (ports 5 through 8 in the example image) cap the air IN quick connect fitting with a quick connect plug (part number 300-08371).
- Leave the air OUT quick connect open for all ports used for profile intakes.
- If using the 8250-770 to power the LI-8250 connect it to four-pin connector labeled PWR IN on the side panel of the LI-8250.
- If using one or more 8250-01, connect them to a chamber port on the side panel of the LI-8250 using the chamber cable hose assembly provided with the 8250-01.
- Connect all power supplies to mains power to power on the system.
- Verify that all power lights in the instrument(s) illuminate, including the power light on the thermistor input module.




Software configuration for profile measurements
Details for connecting to the LI-8250’s user interface, general system configuration and connecting analyzers to the system are covered in the LI-8250 user manual. Here, only the details relevant to setup and configure a profile measurement are covered.
- Navigate to the Configuration page.
- Add a Purge Pump block to the root block of each instrument being used for profile measurements.
- The presence of this block specifies that the instrument should enable the purge pump. When present the purge pump is on by default. The root instrument block could be the LI-8250 Multiplexer block or the 8250-01 Extension Manifold block. If using the 8250-01 for profile measurements, it will be necessary to first add a root block for it to a Port block under the LI-8250 Multiplexer block (see the LI-8250 user manual for details).
- Add a Thermistor Input Module block to the root block of each instrument being used for profile measurements.
- Whether thermistors are used or not, a Thermistor Input Module and Thermistor Measure block must be present in the configuration.
- Configure thermistor measurements.
-
- Add a Thermistor Measure block to the Thermistor Input Module block.
- Note that one of these blocks will already be included in the Thermistor Input Module block when it is added to the configuration.
- Set the Channel to match the numbered input on the module where the thermistor is connected.
- If using the LI-COR thermistor assembly, the A, B and C parameters can be left as is.
- The default values are the Steinhart-Hart coefficients for these sensors. If using a user-provided thermistor, set these to match the sensor’s coefficients. This can be done in each block individually or by creating a set of Constants blocks, as shown in the example below.
- Repeat for each thermistor connected to the input module.
- Configure a profile measurement.
-
- Add a Port block to the root block of the instrument being used for profile measurements.
- Set the Port # to match the port being used. Optionally, enter a Description for the port, such as the height of the intake for that port.
- Add a Flask block inside the Port block.
-
- (Optional) Set Tube Length.
- This is the one-way length (cm) of tubing between the intake and the chamber port on the instrument.
- (Optional) Leave at the default setting; the parameter has no effect.
- (Optional) Leave at the default setting; the parameter has no effect.
- Adjust the Pre-Purge time as appropriate.
- Ten seconds is a reasonable starting value to use.
- Adjust the Observation Length as appropriate.
- Select the Thermistor Channel #.
- Repeat for each profile intake on each instrument port.
- Configure a Sampling Sequence.
-
- Configure an observation.
-
- Add an Observation block.
- Tag the Observation block with a Multiplexer Port# block.
- Set the port number to match either a multiplexer port with an attached flask, or where an extension manifold is attached.
- If an extension manifold is present on the port selected in the previous step, tag the Multiplexer Port# block with an Extension Manifold Port# block and set it to a manifold port with a flask attached.
- Repeat for all ports where an observation is to be made during the sampling sequence.
- There is not a limit to how many times an observation can be made on a given port in a sequence, or on the ordering of observations during the sequence.
- Set the Start Sequence interval.
- Continuous Sampling runs continuously starting the moment measurements are started. All other options synchronize the start of the sampling sequence to the specified interval. For example, 30 [Min] will start the sequence at the start of each hour and at half past the hour. Note that the total duration of the configured sequence must be shorter than the start interval and that for storage flux calculations at least one observation must be made from each intake every 30 minutes.
- Set how to handle restarting the sampling sequence On Disruption.


Once the configuration is complete, the configuration verification (Verify) at the top of the window will show an orange caution state and the Verification Results will report Possible missing chamber configurations. This is because no flux calculation block is included in the Flask blocks used to make the profile measurements. This error is expected and does not prevent execution of the sampling sequence. It does, however, have a consequence for how data are stored. In this case, no gas measurements will be included in the daily summary files generated on the LI-8250. The daily summary file uses mean gas values that are generated by the flux calculation subroutine in the instrument and without execution of the flux calculation, no mean values are generated. The raw (1 Hz time series) data will be stored in each individual .82z
file for all gas analyzers specified in the configuration. The raw data are the more appropriate data to work with for any storage flux calculations (see Unlocking SoilFluxPro’s secret level for details), but if mean values are desired in the summary files simply add flux calculation blocks for each gas of interest to each flask block.

Calibrating the purge pump
Before deploying the profile system, you will need to calibrate the pressure sensor in the purge pump. To open the manual controls, first connect to the LI-8250 Multiplexer user interface. Then expand the Tools drop-down and click Manual Control.
Each instrument with a purge pump installed will have a Purge Pump panel. Click Calibrate Pressure Sensor for each purge pump.
Note: For each 8250-01 Extension Manifold with a purge pump, you will need to expand the tool panel to access its Purge Pump panel.

Unlocking SoilFluxPro’s secret level
Data output from the LI-8250 system are stored in the .82z
data file format, with a single .82z
file generated for each observation made by the system. SoilFluxPro provides a convenient interface for parsing these files and many basic data manipulations (e.g., merging of separate datasets and calculation of simple per observation means) that may be useful, but it does not natively include any functionality to calculate storage fluxes or output network standard data files. SoilFluxPro, however, does include a JavaScript console that can be used to implement customized functionality and a JavaScript module is available to support storage profile measurements from https://licor.app.boxenterprise.net/s/pkosls7uhzz7236smqszgos0ex84rn9b
To access the console, open SoilFluxPro and execute the Konami code (↑ ↑ ↓ ↓ ← → ← → b a). The developer tools will appear on the right-hand side of SoilFluxPro’s main window. Select the Console tab (see Figure 3).
To import the module enter one of the following, depending on whether you are using Windows or macOS. In these examples, we use a file that is stored on the computer desktop. The file can be stored anywhere; just be sure to enter the correct directory.
//on Windows:
let module = require('C:\\Users\\user.name\\Desktop\\storage.js')(__dirname)
//replace 'C:\\Users\\username\\Desktop' with the directory on your computer
//on macOS:
let module = require('/Users/username/Desktop/storage.js')(__dirname)
//replace '/Users/username/Desktop' with the directory on your computer
Enter the command into the console and press enter. Here module
sets the name to use when referencing its functions (st
in the example shown in Figure 3). The full path up to and including storage.js
is required. Inclusion of (__dirname)
at the end of the require is necessary to give the module access to SoilFluxPro’s core functions.

Once the module is imported, module.valueOf()
will return all public functions. These functions and their uses are described below. Note that each time SoilFluxPro is opened the module must be re-imported.
module.verbose(true|false|blank)
Turns on or off status messages for other functions. Messages are enabled by default. Pass true
to enable, false
to disable, or leave the entry blank to return the current state.
module.workingDirectory(path)
Sets the working directory to look for files in and store files to. By default, the working directory is the /storage_profiles
subdirectory under the user’s Desktop. Pass the full path as a string enclosed in quotes for path
. Omitting path
will return the current working directory being used. Be sure to configure the path according to the operating system requirements:
- Path format for Windows OS:
C:\\Users\\username\\Desktop
- Path format for macOS:
/Users/username/Desktop/
module.loadHeightsFromFile(use_port, file, path)
Creates an object containing intake port heights from a .csv file. The .csv
file should include no headers, and two or three columns of values. The first column should be either the LI-8250 port number or the VERTICAL metadata value. If an 8250-01 was used and the data are being mapped by port, then the second column should contain the 8250-01 port number. The final column should be the intake height in meters. Pass true
for use_port
to map the intake heights to port numbers. Omit or pass false
to map them to the metadata item VERTICAL. By default, intake heights are expected in a file named intake_heights.csv
, located in the /storage_profiles
subdirectory on the user’s Desktop. An alternative file name and location can be specified by passing values for file
and path
as strings in quotes. A non-empty intake heights object is required.
module.returnHeights()
Returns the current value of the intake heights object.
module.rawStorageProfileExporter(station, logger, group, path)
Generates combined daily files of raw one second time series data following a pseudo-ICOS file standard. Output files will be formatted as comma separated files and either named with the LI-8250 serial number and date (YYYYMMDD), or if station
and logger
are not null, an ICOS compliant file name. The metadata item VERTICAL will be mapped to the ICOS variable LEVEL and all reported flow rates will be appended with _VOLRATE
following the ICOS standard naming convention for storage data. Data must be loaded in SoilFluxPro’s main interface before executing this function. Omitting a value for group will default to using the first file group in SoilFluxPro’s file group list. Otherwise, pass the file group name as a string in quotes to specify as specific group. Path sets the directory to write output files to. By default, files will be written in the /raw
subdirectory under the working directory.
module.meanStorageProfileExporter(half_hour, heights, group, path)
Generates half-hourly files of averaged data for each port, in a nested /year/month/day
directory structure. Files are comma separated and named with the LI-8250 serial number and a time stamp (82m-xxxx_YYYYMMDDHHMM.csv
). The time stamp will represent the end of the averaging interval if half_hour
is set to true
and the middle of the averaging interval if it is set to false
or omitted. Omit heights to use the intake heights object created by loadHeightsFromFile()
, or pass a properly structured object containing the heights. Data must be loaded in SoilFluxPro’s main interface before executing this function. Omitting a value for group will default to using the first file group in SoilFluxPro’s file group list. Otherwise, pass the file group name as a string in quotes to specify as specific group. Path sets the directory to write output files to. By default, files in the nested structure will be written in the /means
subdirectory under the working directory.
module.computeStorageFlux(path)
Calculates storage terms following Montagnani et al., 2018, from the mean data generated by meanStorageProfileExporter()
. Computed parameters are output to a comma separated file named with the LI-8250 serial number and the time stamp of either the end or middle, depending on how the means were calculated, of the first averaging interval (82m-xxxx_STORAGE_YYYYMMDDHHMM.csv
). Path
sets the directory to search for the means subdirectory in and where to write the output file to. By default, this is the working directory.
All gases and storage related values are calculated as intake height weighted averages, and all diagnostic variables are calculated as non-weight averages. The LI-8250 is assumed to be at ground level for all calculations. Chamber temperature is assumed to represent the air temperature at the intake. If an alternative temperature is available, this should be mapped to chamber temperature in SoilFluxPro’s main interface using the Import and Transform tools prior to exporting mean data. Dry air parameters are calculated for all analyzers that provide a water vapor measurement (using that analyzer’s water vapor measurement), and those parameters are used for all storage calculations for that specific analyzer.
An example profile system using buffered intakes
An LI-8250 system configured for storage profile measurements, paired with an LI-870 CO2/H2O analyzer, was deployed over an urban field in Lincoln, NE. The profile system was installed in parallel to an eddy covariance system at the site. The core eddy covariance sensors were positioned at 3.89 meters above ground level, and storage profile intakes were installed at 0.5, 1.41, 2.59 and 3.89 m. Intakes consisted of a 3 L aluminum buffer volume fit with a rain exclusion cap and did not use an inlet filter (Figure 4; Table 1). Each intake was connected to the LI-8250 using a single 15-meter length of Bev-a-line tubing. Air temperature thermistors were installed on each intake in a continuously shaded location below and behind the buffer volume.
Concentrations measured at each intake height (Figure 6) showed strong diurnal trends, with the largest daily variation occurring at the lowest intake height. Large concentration gradients were evident at night, with differences between the lowest and highest intakes exceeding 100 µmol mol-1. During the day, the concentration gradient collapsed and little to no difference in concentration was measurable between intakes. Comparison of the storage flux calculated in EddyPro using the single point concentration measured by the eddy covariance sensors showed generally good agreement with that calculated from the LI-8250 profile measurement at this site (Figure 7).




References
1 | Finnigan, J. (2006). The storage term in eddy flux calculations. Agricultural and Forest Meteorology, 136(3-4), 108-113. doi.org/10.1016/j.agrformet.2004.12.010. |
2 | ICOS (2017) Instruction for CO2, H2O, CH4 and N2O storage flux measurements. Version 20170307. ICOS Ecosystem Thematic Centre. |
3 | ICOS (2021) Instruction for storage flux data format. Version 20211223. ICOS Ecosystem Thematic Centre. |
4 | Montagnani, L., Grünwald, T., Kowalski, A., Mammarella, I., Merbold, L., Metzger, S., ... & Siebicke, L. (2018). Estimating the storage term in eddy covariance measurements: the ICOS methodology. International Agrophysics, 32(4), 551-567. doi.org/10.1515/intag-2017-0037. |